量子磁性是当前凝聚态物理的一个前沿方向,主要研究量子力学效应在磁性材料中的表现。量子磁性材料通常具有特殊的电子结构和自旋态,展现出许多新奇的衍生现象,如量子自旋液体、自旋超固态等。其独特的物理性质在量子计算、信息存储、极低温制冷等领域具有重要价值。近期,我院马祯团队在该领域取得了系列研究进展。
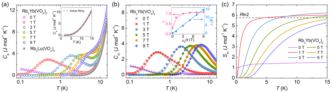
进展一:由于离子半径相似,真实材料中往往存在离子无序占位而导致的结构无序问题,被认为是研究量子磁性系统本征物理的一大障碍。为此,马祯团队设计开发了两种新型的三角晶格稀土材料Rb3Yb(VO4)2和Cs3Yb(VO4)2。通过对材料进行极低温的比热和非弹性中子散射研究,发现自旋在低温下仍然没有建立长程磁性,而是保持量子顺磁行为。同时,在温度低至100 mK以下,系统中仍然存在大量的低温磁熵,且会受到磁场的连续调制,具有较大的磁卡效应。该工作为探索通过绝热去磁制冷技术,实现mK量级的极低温制冷环境提供一个潜在平台。研究成果以“Magnetically disordered ground state in the triangular-lattice antiferromagnets Rb3Yb(VO4)2 and Cs3Yb(VO4)2”为题,发表于物理学权威期刊Physical Review B [PRB 111, 155141 (2025)]。材料学院马祯博士为论文第一兼通讯作者,南京大学温锦生教授为共同通讯作者。

进展二:量子自旋液体代表了一种非平庸的量子磁性态,然而真实的材料体系却十分稀少,且大多集中在几何阻挫海森堡磁体中。为此,马祯团队制备了一种新的伊辛磁体PrMgAl11O19的高质量单晶。磁化率和比热表征均没有发现长程磁相变,零场下的极低温磁比热与温度的平方项具有依赖关系,说明磁无序基态可能是无能隙的狄拉克型量子自旋液体。非弹性中子散射测量验证了低温下磁无序的特征,且布里渊区中弥散的磁激发信号也和自旋液体态的特征相吻合。该工作证明了经典的伊辛系统也能展示量子自旋液体行为,为深入理解量子磁性物理提供了一个罕见的实验案例。研究成果以“Possible gapless quantum spin liquid behavior in the triangular-lattice Ising antiferromagnet PrMgAl11O19”,发表于物理学权威期刊Physical Review B [PRB 109, 165143 (2024)]。材料学院马祯博士为论文第一兼通讯作者,南京理工大学董召阳副教授和南京大学温锦生教授为共同通讯作者。

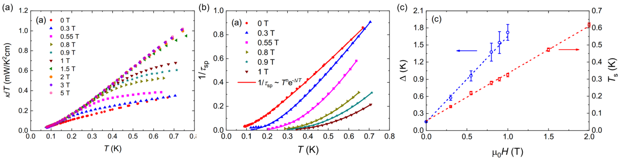
进展三:在进展二的基础上,马祯团队继续对PrMgAl11O19进行了极低温热导率的研究。结果显示,系统中除了声子热导之外,零场下表征量子自旋液体态的分数化磁激发对热导几乎没有贡献,排除了系统中出现具有巡游性的准粒子激发的可能,这似乎和上述比热以及中子散射的结果相矛盾。然而,通过对不同磁场下热导率数据的进一步分析得知,声子热导会受到有能隙(~0.15 K)的集体磁激发模的强烈散射,且能隙值与外加磁场大小具有线性依赖关系。以上结果表明,该系统实际是一个有能隙的Z2型量子自旋液体。研究成果以“Gapped quantum spin liquid in a triangular-lattice Ising-type antiferromagnet PrMgAl11O19”,发表于物理学权威期刊Physical Review Research [PRR 6, 043147 (2024)]。我校材料学院马祯博士和复旦大学李世燕教授为论文共同通讯作者。

作者简介:马祯,副教授,硕士生导师,湖北省“楚天学者计划”楚天学子,“磁湖人才计划”青年才俊。2020年博士毕业于南京大学。主要从事量子材料的晶体生长、物性表征和中子散射研究工作。目前,主持国家自然科学基金青年项目1项,湖北省自然科学基金青年/面上项目各1项,国家重点实验室开放课题3项。共发表SCI论文30余篇,其中第一或通讯作者论文12篇,包括1篇Physical Review Letters和1篇Nature Communications, 8篇Physical Review B/Research/Materials。担任PRL、PRB、npj Quantum Materials等期刊独立审稿人。
论文链接:
(1)https://journals.aps.org/prb/abstract/10.1103/PhysRevB.111.155141
(2)https://journals.aps.org/prb/abstract/10.1103/PhysRevB.109.165143
(3)https://journals.aps.org/prresearch/abstract/10.1103/PhysRevResearch.6.043147